Клатратные гидраты гексагональной структуры III при высоких давлениях: структуры и фазовые диаграммы

Оглавление

  1. Дорога к бессмертию
  2. Бессмертие и религия
  3. Философия бессмертия
  4. Бессмертие и наука
  5. История анабиоза
  6. Смерть
  7. Кора головного мозга
  8. Бессмертие и анабиоз
  9. Анабиоз, медицина и биология
  10. Анабиоз и экономика
  11. Анабиоз и закон
  12. Анабиоз в Антарктиде
  13. Техническое обеспечение анабиоза
  14. Бессмертие и вера
  15. Библиотека Ordo Deus
  16. Контактная страница Ordo Deus

Клатратные гидраты гексагональной структуры III при высоких давлениях: структуры и фазовые диаграммы

2005. Том 46 Приложение S59 S64

УДК 548.562:541.123.22

Ларионов Э.Г. (1); Аладко Е.Я. (1); Журко Ф.В. (1); Лихачева А.Ю. (2); Анчаров А.И. (3), Шеромов М.А. (4), Курносов А.В. 1; Манаков А.Ю. (1*), Горянов С.В. (2).

* E-mail: manakov@che.nsk.su

1 Институт неорганической химии им. А.В. Николаева СО РАН

2 Институт минералогии и петрографии СО РАН

3 Институт химии твёрдого тела и механохимии СО РАН

4 Институт ядерной физики им. Г. И. Будкера СО РАН

Статья поступила 16 декабря 2004 г.

В работе показано, что образующиеся в трёхкомпонентных системах клатратные гидраты гексагональной структуры III 1-метилпиперазин — вспомогательный газ — вода и изоамиловый спирт—вспомогательный газ—вода стабильны в широком диапазоне давлений. Впервые изучены кривые разложения образующихся в этих системах гидратов при давлениях до 1 ГПа. В качестве вспомогательных газов использованы Ar, Kr, Xe и CH4.

В ряде изученных систем обнаружены фазы высокого давления, предположительно образующиеся за счёт искажения структуры соответствующих гидратов низкого давления.

Ключевые слова: клатратные гидраты, высокое давление, фазовые диаграммы, метилпиперазин, изоамиловый спирт, двойные гидраты, гексагональная структура III.

Клатратные гидраты — соединения, в которых молекулы гостя располагаются в полиэдрических полостях (пустотах) водородно-связанного каркаса хозяина, образуемого молекулами воды [ 1—5]. Гексагональная структура III клатратных гидратов (ГС-III или структура H) была обнаружена Рипмейстером и другие [6]. Отличительная особенность этой структуры — наличие в ней максимальной из известных для газовых гидратов полости (построенной из 12 пятиугольных и 6 шестиугольных граней, 51268), способной вмещать молекулы размером до 1 нм (метилциклогексан, изоамиловый спирт, адамантан и другие). Эта структура также содержит пять малых полостей — две D (512) и три D' (435663), которые могут включать молекулы размером не более 0,5 нм (так называемые вспомогательные газы — метан, ксенон, сероводород и др.). Известно, что гидраты ГС-III с незаполненными малыми полостями существовать не могут [2, 5, 7], поэтому обычно они реализуются со смесями гостей. В таких гидратах, содержащих два разных гостя (двойные гидраты), большая полость заполняется сложной органической молекулой, а малые — молекулами вспомогательного газа. При высоких давлениях -полость может заполняться кластером из нескольких малых молекул [8, 9 ].

Из-за сложности изучения трехкомпонентных систем (вода—гость-1—гость-2) фазовые диаграммы таких систем при высоких давлениях исследованы мало, а структурных исследований двойных гидратов при высоких давлениях вообще не предпринималось. Лучше других изучены гидраты кубической структуры II (КС-II). В гидратах пропана, ТГФ, ацетона молекулы гостя заполняют только большие полости каркаса, а малые полости остаются вакантными (их размер недостаточен для молекул такого размера). Заполнение малых полостей приводит к существенному повышению температур разложения этих гидратов [ 10—12 ]. Определение температур разложения таких гидратов до давления 1,5 ГПа показало, что в исследованном диапазоне давлений гидрат КС-II не испытывает фазовых превращений [11, 12]. Стабилизация наиболее эффективным вспомогательным газом — ксеноном — позволяет гидратам КС-II достигать максимальных из известных для газовых гидратов температур разложения (более 124 °С при 1,5 ГПа), уменьшение же объёма молекулы вспомогательного газа приводит к систематическому понижению температур разложения двойных гидратов и уменьшению интервала давлений, в котором этот гидрат существует. Приведённые примеры наглядно иллюстрируют влияние упаковочного фактора на стабильность клатратных гидратов при высоких давлениях. Именно в двойных гидратах, где каждый из типов полостей может быть заполнен молекулой гостя с оптимальным для данной полости размером и формой, следует ожидать появления газовых гидратов с максимальной плотностью упаковки, адаптация которых к повышению внешнего давления может протекать без изменения структуры кристаллического каркаса.

Из литературных данных (например [2,6]) ясно, что гидраты ГС-III могут существовать только как двойные гидраты, и для них, как и для двойных гидратов КС-II с относительно крупными вспомогательными молекулами, можно ожидать отсутствия фазовых превращений и быстрого роста температуры разложения в широком диапазоне давлений. Какие-либо экспериментальные данные на этот счёт в настоящее время отсутствуют, что и определило наш интерес к данной теме.

ЭКСПЕРИМЕНТАЛЬНАЯ ЧАСТЬ

Использованный для изучения кривых разложения метод дифференциально-термического анализа при высоком давлении газа (флюида) подробно рассмотрен в работе [13 ]. Температуру измеряли откалиброванной по стандартным реперным веществам хромель-алюмелевой термопарой с погрешностью ±0,3 °С. Давление измеряли манометром Бурдона (до 250 МПа) и откалиброванным по плавлению ртути манганиновым манометром (до 1 ГПа); ошибка измерения не более 1 %.

Клатратный гидрат 1-метилпиперазина (МП, содержание основного компонента >99 %) со вспомогательными газами получался непосредственно в экспериментальной ячейке из водного раствора МП с молярным соотношением компонентов 1:34 (МП:вода) и взятого в близком к стехиометрическому по отношению к необходимому для образования гидрата количеству вспомогательного газа (в отдельных экспериментах использовали избыток газа). Гидростатическое давление в системе создавали нейтральной жидкостью (ртутью). Для системы с изоамиловым спиртом использовали эмульсию гостя в воде с таким же, как для МП, мольным соотношением компонентов.

Дифракционные исследования с использованием синхротронного излучения выполняли в аппарате высокого давления с алмазными наковальнями [14] на станции четвёртого канала ускорителя ВЭПП-3 (Институт ядерной физики СО РАН) [ 15 ]. Образец (состоящий из гидрата ксенона и раствора МП в воде) синтезировали при давлении ксенона 1—2 атмосферы, затем аппарат замораживали до температуры жидкого азота, гидрат извлекали из него, измельчали и загружали в аппарат с алмазными наковальнями при температуре около -20 °С. Давление в аппарате определяли по смещению спектра флюоресценции рубина, кусочки которого загружали в аппарат вместе с образцом [16]. Исследования выполняли при температуре около 22 °С. Рентгеновский эксперимент проводили по схеме Дебая—Шеррера с А = 0,3675 А. Регистрацию дифрактограммы проводили на запоминающий рентгеновский экран (Image-Plate).

РЕЗУЛЬТАТЫ И ИХ ОБСУЖДЕНИЕ

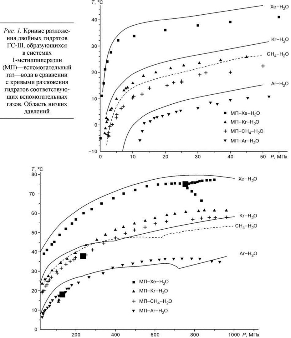
Кривые зависимости температур разложения двойных гидратов МП с ксеноном, криптоном, аргоном и метаном представлены на рис. 1 и 2. В самом начале экспериментов было отмечено, что в тех случаях, когда вспомогательный газ брали даже в незначительном избытке по отношению к необходимому для образования гидрата ГС-III, в системе образовывался гидрат ксенона кубической структуры I (КС-I). Этот факт был установлен по совпадению с известной для гидрата чистого ксенона кривой разложения, а также рентгенографически (рис. 3). Когда газ брали в недостатке, а гидростатическое давление в системе создавалось инертной жидкостью (ртутью), то наблюдаемые в эксперименте тепловые эффекты ложились на 4—7° ниже (см. рис. 1). Добавка нескольких мольных процентов МП не должна существенно изменить термодинамическую активность воды, что подтверждается и упомянутым выше совпадением температур разложения образующихся из этих растворов гидратов вспомогательного газа с известными из литературы температурами разложения этих гидратов в бинарных системах. Таким образом, единственной интерпретацией появления во всех системах "нижних" кривых может быть образование двойного гидрата МП со вспомогательным газом, причём область существования двойного гидрата на фазовой диаграмме соответствует стехиометрическим концентрациям вспомогательного газа.



Информация об Ordo Deus Перейти в оглавление сайта

Рис. 2.
Кривые разложения двойных гидратов ГС-III, образующихся в системах 1-метилпиперазин (МП)—вспомогательный газ—вода в сравнении с кривыми разложения гидратов соответствующих вспомогательных газов. Область высоких давлений. Большие заполненные квадраты соответствуют изломам на кривых разложения гидратов в тройных системах





Информация об Ordo Deus Перейти в оглавление сайта

Рис. 3.
Порошковые дифрактограммы фаз, существующих при различных давлениях в системе 1-метилпиперазин—ксенон—вода. Снизу вверх: гидрат ксенона КС-I (Р = 0,4 ГПа); гидрат высокого давления (Р = 1,7 ГПа); лед VII + остаточный гидрат высокого давления (Р = 3,7 ГПа)



Определить рентгенографически структуру гидрата нам не удалось, поскольку реализовать синтез этого гидрата при относительно малом количестве вспомогательного газа вне экспериментального аппарата оказалось невозможным. По имеющимся в настоящее время данным, молекулы такого размера в присутствии вспомогательного газа должны образовывать гидраты ГС-III [2, 5—7, 17], поэтому мы постулируем для этого гидрата именно такую структуру. Понижение температуры разложения двойных гидратов по сравнению с гидратами чистых вспомогательных газов, по всей вероятности, связано с гидрофильностью гостевой молекулы, что способствует стабилизации водного раствора МП и дестабилизирует гидрат, в котором молекула МП гидратирована гидрофобно.

Температура разложения двойных гидратов растёт с увеличением размера молекулы вспомогательного газа. Подобные изменения ранее наблюдались в системах, где образуются клатратные гидраты КС-II [12], связаны они с увеличением коэффициента упаковки двойного гидрата за счёт лучшего соответствия размера молекулы вспомогательного газа размеру малых полостей каркаса ГС-III. По данным работы [18 ], ван-дер-ваальсовы диаметры атомов аргона, криптона и ксенона равны 3,8, 4,0 и 4,4 А соответственно, размеры молекулы метана в прямоугольной системе координат — 3,8, 3,9 и 4,1 А [19 ], а свободный диаметр D и D′ -полости соответствует 5,2 А [1 ].

Как видно из рисунок. 2, при определённом давлении на линии разложения гидратов ГС-III в большинстве исследованных систем наблюдается излом, который связан с образованием в системе нового гидрата. Положение излома надёжно установлено в системах с ксеноном и аргоном (в этих случаях излом явно виден и наблюдаются метастабильные продолжения кривых разложения), менее чётко определяется в системе с метаном, и, наконец, в системе с криптоном излома не видно. Линии разложения новых гидратов в начальной области имеют больший наклон по отношению к оси давлений по сравнению с гидратами ГС-III и пересекают линии разложения гидратов вспомогательных газов (для ксеноновой системы это давление в эксперименте не достигнуто). Линия разложения двойного гидрата высокого давления с аргоном проходит через максимум, линии разложения соответствующих гидратов с метаном и криптоном демонстрируют ту же тенденцию. Это явление характерно для полиэдрических клатратных гидратов [11].



Информация об Ordo Deus Перейти в оглавление сайта

Рис. 4.
Кривые разложения двойных гидратов ГС-III, образующихся в системах изоамиловый спирт (i-C5H11OH)—вспомогательный газ—вода в сравнении с кривыми разложения гидратов соответствующих вспомогательных газов. На вставке показан фрагмент системы изоамиловый спирт—Xe—вода при низких давлениях



Учитывая, что давление, при котором образуются новые фазы в рассмотренных системах, коррелирует с размером молекулы вспомогательного газа, мы связываем их появление с переходом гидрата ГС-III в плотноупакованную фазу высокого давления, причем давление перехода увеличивается с увеличением размера молекулы вспомогательного газа. Подобное поведение, как и в рассмотренном выше случае с КС-II, связано с ростом коэффициента упаковки гидрата при увеличении размера гостевой молекулы. Мы полагаем, что соответствующая фаза высокого давления существует и в криптоновой системе при давлениях, близких к излому в метановой системе, однако она не наблюдается из-за близости наклонов кривых разложения фаз высокого и низкого давления.

Для определения структур клатратных гидратов, образующихся в рассмотренных системах, нами было проведено рентгенографическое изучение образца, полученного при взаимодействии избытка ксенона с раствором МП в воде. Образец был помещён в камеру высокого давления, и дифракционные картины были исследованы при трёх значениях давления (см. рис. 3). Как и ожидалось, полученная при низком давлении дифракционная картина соответствует гидрату ксенона КС-I. Повышение давления приводит к кардинальному изменению дифракционной картины, что мы связываем с образованием гидрата высокого давления из гидрата ксенона и смеси вода—МП. Анализ дифрактограммы фазы высокого давления показал, что отнести структуру данной фазы к типичным газогидратным не удаётся. При индексировании и последующем уточнении с использованием программного комплекса WINPLOTR [ 20 ] для нее определена как наиболее вероятная моноклинная элементарная ячейка с параметрами a = 11,511(3), b = 11,179(3), c = 10,088(2) А; у = 120,31(1)° (в скобках указаны среднеквадратичные отклонения величин в единицах последнего знака). Учитывая несомненное сходство полученной ячейки с ожидаемой для гидратов структуры Н гексагональной ячейкой можно предположить, что гидраты высокого давления в рассматриваемых системах образуются за счёт искажения базовой гексагональной структуры гидрата ГС-III. Если объем молекулы МП равен 114 А3, то коэффициент упаковки этого гидрата будет 0,87, что вполне укладывается в предложенную в работе [21 ] корреляцию между коэффициентом упаковки клатратного гидрата и давлением, при котором этот гидрат существует. Дальнейшее повышение давления приводит к ослаблению и расширению рефлексов гидрата и появлению рефлекса, соответствующего стабильному при данном давлении льду VII. По всей вероятности, обнаружена верхняя граница давления для существования клатратных гидратов в этой системе, выше которой сосуществуют твёрдые фазы компонентов — лёд и твёрдые МП и ксенон. Существование такой границы было описано ранее для нескольких систем гость—вода [ 22, 23 ].

Кривые разложения, полученные для систем изоамиловый спирт—вспомогательный газ— вода, весьма схожи с рассмотренными выше (рис. 4). Кривую разложения для ксеноновой системы не удалось получить для области 25—300 МПа, однако полученные фрагменты кривых разложения не удаётся соединить плавной линией, что, по нашему мнению, свидетельствует о появлении в этом интервале фазы высокого давления. Излом на кривой разложения в аргоновой системе выражен слабо, и обнаружить его существование исходя из наших данных не удалось. Общим отличием систем с изоамиловым спиртом являются более высокие (по сравнению с гидратами МП) температуры разложения гидратов.

Данная работа частично поддержана Интеграционным проектом СО РАН № 147 "Природные и синтетические газовые гидраты" и грантом Российского фонда фундаментальных исследований № 00-03-32563. А.Ю. Манаков благодарит "Фонд содействия отечественной науке" за финансовую поддержку.

СПИСОК ЛИТЕРАТУРЫ

Дядин Ю.А., Удачин К.А. // Журн. структур. химии 1987. 28, № 3. C. 75 116.

Истомин В.А., Якушев В.С. Газовые гидраты в природных условиях. М.: Недра, 1992. 236 с.

Бык С.Ш., Макогон Ю.Ф., Фомина В.И. Газовые гидраты. М.: Химия, 1980. 297 c.

Ларионов Э.Г., Манаков А.Ю., Журко Ф.В., Дядин Ю.А. // Журн. структур. химии. 2000. 41, № 3. С. 581 589.

Ларионов Э.Г., Журко Ф.В., Дядин Ю.А. // Там же. 2002. 43, № 6. C. 1063 1067.

Бацанов С.С. // Журн. структур. химии. 1991. 36. C. 3015 3037.

Манаков А.Ю., Дядин Ю.А. // Рос. хим. журн. 2003. XLVII (3). C. 28 42.

Автор

⇐ Перейти на главную страницу сайта

⇑ Вернуться в начало страницы ⇑

Библиотека Ordo Deus ⇒

⇐ Каталог заглавий

⇓ Полный свод знаний. Том первый А. ⇓

Каталог систематический ⇒

Внимание! Вы находитесь в библиотеке «Ordo Deus». Все книги в электронном варианте, содержащиеся в библиотеке «Ordo Deus», принадлежат их законным владельцам (авторам, переводчикам, издательствам). Все книги и статьи взяты из открытых источников и размещаются здесь только для чтения.

Библиотека «Ordo Deus» не преследует никакой коммерческой выгоды.

Вся информация на сайте Ordo Deus находится в свободном доступе. Ordo Deus не предоставляет информацию на платной основе.

Все авторские права сохраняются за правообладателями. Если Вы являетесь автором данного документа и хотите дополнить его или изменить, уточнить реквизиты автора, опубликовать другие документы или возможно вы не желаете, чтобы какой-то из ваших материалов находился в библиотеке, пожалуйста, свяжитесь с нами по e-mail:
info @ ordodeus. ru
Формы для прямой связи с нами находятся в нижней части страниц: контакты и устав «Ordo Deus», для перехода на эти страницы воспользуйтесь кнопкой контакты вверху страницы или ссылкой в оглавлении сайта.

Вас категорически не устраивает перспектива безвозвратно исчезнуть из этого мира? Вы не желаете закончить свой жизненный путь в виде омерзительной гниющей органической массы пожираемой копошащимися в ней могильными червями? Вы желаете вернувшись в молодость прожить ещё одну жизнь? Начать всё заново? Исправить совершённые ошибки? Осуществить несбывшиеся мечты? Перейдите по ссылке: «главная страница».

© Ordo Deus, 2010. При копировании ссылка на сайт http://www.ordo-deus.ru обязательна.